|
Từ khóa
Danh mục |
|
Đang truy cập: 190 Trong ngày: 1503 Trong tuần: 2120 Lượt truy cập: 9338758 |

Mô tả sản phẩm BP Energrease LS-EP 3
BP Energrease LS-EP 3 là mỡ lithium chất lượng cao được pha trộn từ dầu gốc tinh lọc và chất làm đặc lithium cùng với hệ phụ gia chống oxy hóa và ăn mòn giúp mỡ có thời gian sử dụng dài và bảo vệ tốt bề mặt kim loại.
Mỡ có chứa phụ gia chịu cực áp EP giúp bảo về vòng bi, bạc đạn chịu tải nặng và sốc. Mỡ có tính năng kháng nước tốt và nhiệt độ hoạt động tự -30 đến 120 độ C.
ỨNG DỤNG CỦA BP ENERGREASE LS-EP 3
Mỡ bò BP Energrease LS-EP 3 được sử dụng để bôi trơn ổ bi và ổ đũa của các loại máy móc bao gồm động cơ điện, máy công cụ, máy chế biến gỗ, khai thác mỏ, thiết bị xây dựng. Mỡ đạt tiêu chuẩn British Timken cho nhà máy thép.
ƯU ĐIỂM CỦA BP ENERGREASE LS-EP 3
Phù hợp để bôi trơn các ứng dụng chịu tải nặng
Bôi trơn thông dụng
Thời gian sử dụng dài
Kháng nước rửa trôi tốt
Mỡ có độ ổn định lực cắt và chống rung tốt
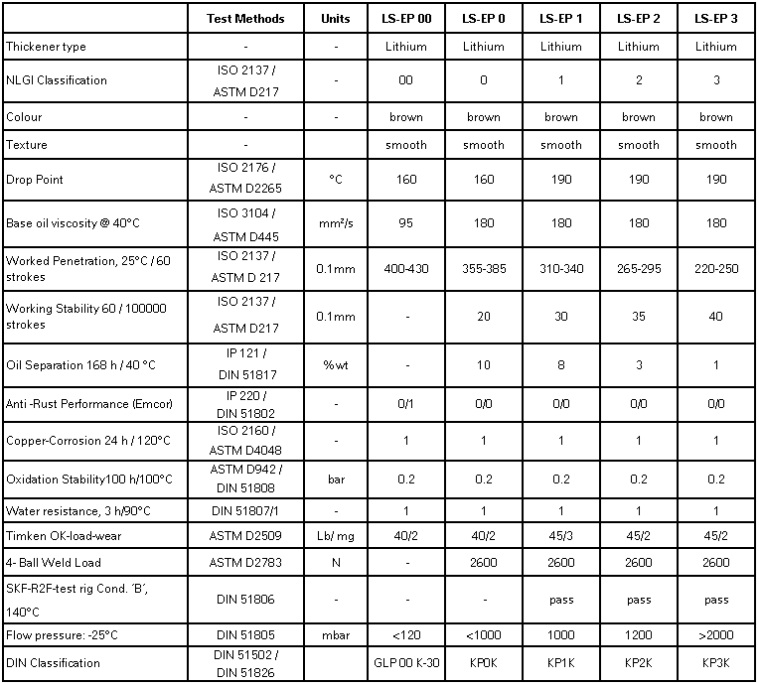
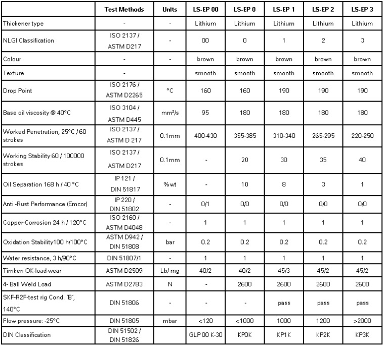
ĐẶC TÍNH KỸ THUẬT CỦA BP ENERGREASE LS-EP 3

Sản phẩm tương đương thay thế ENERGREASE LS-EP 3
Grenvo Lithium Grease EP 3 là sản phẩm mỡ bôi trơn tương đương thay thế ENERGREASE LS-EP 3 và hoàn toàn thay thế được vì những yếu tố sau:
+ Đều là mỡ bôi trơn chịu cực áp EP gốc lithium cấp NLGI 3
+ Độ nhớt dầu gốc tại 40 độ C tương đương nhau: 180 cSt
+ Đều có độ ăn mòn tấm đồng 1b
+ Thử nghiệm hàn dính 4 bi bằng nhau
+ Nhiệt độ hoạt động tương đương nhau ( ENERGREASE LS-EP 3: -20-120 độ C, Grenvo Lithium Grease EP 3: -20-130 độ C)




Grenvo Lithium Grease EP 3 là dòng mỡ bôi trơn lithium chịu cực áp (Extreme Pressure - EP) với cấp độ NLGI 3, được pha chế từ dầu gốc khoáng tinh luyện chất lượng cao và chất làm đặc lithium cao cấp. Sản phẩm được thiết kế đặc biệt để đáp ứng nhu cầu bôi trơn trong điều kiện tải trọng nặng, nhiệt độ cao và môi trường khắc nghiệt, giúp giảm ma sát, chống mài mòn và kéo dài tuổi thọ thiết bị.
Ưu điểm nổi bật của Grenvo Lithium Grease EP 3
Khả năng chịu cực áp vượt trội
Bảo vệ các chi tiết máy trước ma sát và mài mòn, đặc biệt hiệu quả trong các hệ thống chịu tải nặng và rung động mạnh.
Chịu nhiệt tốt
Duy trì độ ổn định nhiệt và hiệu quả bôi trơn ở nhiệt độ cao, hạn chế hiện tượng chảy lỏng hay phân tách dầu.
Bám dính tuyệt vời
Tạo lớp màng bôi trơn ổn định, giúp hạn chế rò rỉ và giữ mỡ lâu dài trên bề mặt kim loại.
Chống gỉ và chống oxy hóa
Bảo vệ bề mặt kim loại trong môi trường ẩm, bụi bẩn hoặc điều kiện vận hành khắc nghiệt.
Tương thích thay thế linh hoạt
Có thể thay thế cho các sản phẩm như:
Shell Gadus S2 V220 3
Castrol Spheerol EPL 3
Total Multis EP 3
Mobilux EP 3
Sinopec EP Grease NLGI 3
S-Oil EP 3
Runo NLGI 3
Ứng dụng của Grenvo Lithium Grease EP 3
Bôi trơn vòng bi, gối đỡ, trục quay và các bộ phận chuyển động trong thiết bị công nghiệp.
Hệ thống máy móc trong các ngành công nghiệp nặng như: luyện thép, xi măng, khai khoáng, dệt may, chế biến gỗ, giấy.
Thiết bị cơ giới, phương tiện vận tải hạng nặng như xe tải, xe buýt, máy xúc, máy ủi, xe nâng.
Ứng dụng trong hệ thống yêu cầu mỡ bôi trơn ổn định lâu dài, chịu tải trọng lớn và nhiệt độ vận hành cao.
Thông số kỹ thuật của Grenvo Lithium Grease EP 3

*** Đặc biệt: Grenvo là thương hiệu mỡ bôi trơn cao cấp của công ty Siddharth Grease & Lubes Pvt. Ltd - Nhà sản xuất gia công mỡ bôi trơn cho BP - Castrol tại Ấn Độ. Siddharth gia công mỡ bò cho Caltex- Chevron, Mobil, Schaeffler, Shell, Total, SKF, Timken, Vavoline, Petronas. Với hơn 35 năm kinh nghiệm trong ngành công nghiệp dầu mỡ. Thành lập từ năm 1988, công ty đã phát triển mạnh mẽ và hiện nay cung cấp hơn 15% nhu cầu mỡ bôi trơn chất lượng cao tại thị trường Ấn Độ, với công suất sản xuất đạt 40.000 tấn mỡ và 20.000 kilolit dầu mỗi năm. Cho nên có thể nói mỡ Grenvo Lithium Grease EP 3 và ENERGREASE LS-EP 3 là như nhau về chất lượng.
Công ty đầu tư mạnh mẽ vào nghiên cứu và phát triển (R&D), với Trung tâm Công nghệ Siddharth (STC) được công nhận bởi Bộ Khoa học và Công nghiệp Ấn Độ (DSIR). Trung tâm này đã phát triển nhiều sản phẩm sáng tạo như mỡ trong suốt, mỡ siêu bền, mỡ thực phẩm đạt chuẩn NSF/INS và đã được cấp bằng sáng chế.
Siddharth đạt nhiều chứng nhận quốc tế như ISO 9001, ISO 14001, OHSAS 45001, ISO 17025 (NABL), và các chứng nhận NSF/HALAL cho mỡ thực phẩm. Công ty cũng được công nhận bởi ExxonMobil về thực hành chất lượng và đã nhận nhiều giải thưởng uy tín như “Doanh nghiệp xuất sắc năm 2012” từ Bộ Doanh nghiệp Vừa và Nhỏ Ấn Độ.
Video giới thiệu về Siddharth Grease & Lubes Pvt. Ltd
Chứng nhận nhà phân phối mỡ Grenvo của chúng tôi

Thư mời làm đại lý Grenvo

Tham khảo file giới thiệu các sản phẩm mỡ bôi trơn Grenvo: gioi_thieu__san__pham_grenvo_greases.pdf
Kho hàng hơn 2k m2 của chúng tôi
Hotline:
Email: moboitronhq@gmail.com
Người gửi / điện thoại
CÁC BÀI MỚI HƠN
CÁC BÀI CŨ HƠN
CÔNG TY TNHH THƯƠNG MẠI DỊCH VỤ AN PHÚ ĐỨC
CÔNG TY TNHH UNITED OIL VIỆT NAM
Địa chỉ văn phòng: 109 Nguyễn Bá Tòng, Phường 11, Quận Tân Bình, TP HCM
Hotline: 0919770028
Kho hàng 1: 61/13 Đường Vĩnh Phú 41, Thuận An, TPHCM
Kho hàng 2: Thôn Nhơn Thọ 1, Xã Hòa Phước, Huyện Hòa Vang, TP Đà Nẵng.
Kho hàng 3: 82 Nguyễn Phúc Nguyên, Hương Long, TP Huế.
Kho hàng 4: 423 Minh Khai, Hai Bà Trưng, Hà Nội.
Kho hàng 5: Hẻm 1400, Nguyễn Ái Quốc, Khu phố 5, Phường Tân Phong, TP Biên Hòa, Đồng Nai
Kho hàng 6: 265 Mọ Kọ, Gung Ré, Di Linh, Lâm Đồng
Kho hàng 7: 40 Trần Anh Tông, Quy Nhơn, Gia Lai
Kho hàng 8: 47B, Hẻm 51, Đường 3/2, Phường Xuân Khánh, Quận Ninh Kiều, Thành phố Cần Thơ
Email: moboitronhq@gmail.com - MST 0313110360
Admin: Nguyễn Gia Quốc Bảo
Tuyển cộng tác viên kinh doanh dầu nhớt
Tham gia HIỆP HỘI DẦU NHỚT VÀ PHỤ TÙNG VIỆT NAM để tìm kiếm nguồn hàng và khách hàng dễ dàng hơn!
































