|
Từ khóa
Danh mục |
|
Đang truy cập: 277 Trong ngày: 354 Trong tuần: 1125 Lượt truy cập: 9809737 |
Sản phẩm nằm trong danh mục:
MỠ BÔI TRƠN -> MỠ CỰC ÁP EP
Mô tả
Mỡ bò BP Energrease LS-EP 00 0 1 2 3 có chứa phụ gia chịu cực áp EP giúp bảo về vòng bi, bạc đạn chịu tải nặng và sốc. Mỡ có tính năng kháng nước tốt và nhiệt độ hoạt động tự -30 đến 120 độ C.Mr Bảo: 0919770028 (zalo , tiktok)
Email: moboitronhq@gmail.com
Mỡ bò BP Energrease LS-EP 00 0 1 2 3
MÔ TẢ SẢN PHẨM
BP Energrease LS-EP 00 0 1 2 3 là mỡ lithium chất lượng cao được pha trộn từ dầu gốc tinh lọc và chất làm đặc lithium cùng với hệ phụ gia chống oxy hóa và ăn mòn giúp mỡ có thời gian sử dụng dài và bảo vệ tốt bề mặt kim loại.
Mỡ có chứa phụ gia chịu cực áp EP giúp bảo về vòng bi, bạc đạn chịu tải nặng và sốc. Mỡ có tính năng kháng nước tốt và nhiệt độ hoạt động tự -30 đến 120 độ C.
Tham khảo: Mỡ chịu nước giá rẻ chất lượng tốt nhất cho vòng bi bạc đạn
BAO BÌ XÔ 15 KG VÀ PHUY 180 KG
ỨNG DỤNG CỦA BP ENERGREASE LS-EP 00 0 1 2 3
Mỡ bò BP Energrease LS-EP 00 0 1 2 3 được sử dụng để bôi trơn ổ bi và ổ đũa của các loại máy móc bao gồm động cơ điện, máy công cụ, máy chế biến gỗ, khai thác mỏ, thiết bị xây dựng. Mỡ đạt tiêu chuẩn British Timken cho nhà máy thép.
Tham khảo: Những lưu ý để sử dụng mỡ bôi trơn mỡ đúng cách
ƯU ĐIỂM CỦA BP ENERGREASE LS-EP 00 0 1 2 3
Phù hợp để bôi trơn các ứng dụng chịu tải nặng
Bôi trơn thông dụng
Thời gian sử dụng dài
Kháng nước rửa trôi tốt
Mỡ có độ ổn định lực cắt và chống rung tốt
Tham khảo: TÁC HẠI KHI SỬ DỤNG DẦU MỠ BÔI TRƠN KHÔNG PHÙ HỢP
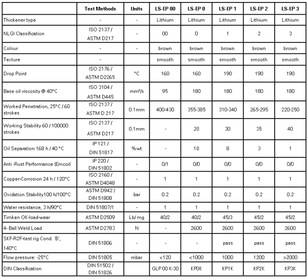
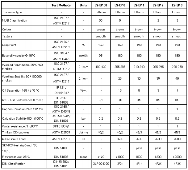
THÔNG SỐ KỸ THUẬT CỦA MỠ BÒ BP ENERGREASE LS-EP 00 0 1 2 3

Xem thông tin chi tiết tại đây: bp_energrease_ls_ep.pdf
Tham khảo: Mỡ bò chịu nhiệt 600 độ C cho bạc đạn loại nào tốt?
- Mua mỡ bò chịu nhiệt ở đâu uy tín giá tốt
- Mỡ bò chịu cực áp EP là gì? Tư vấn và cách lựa chọn
- Bảng báo giá các sản phẩm mỡ bôi trơn cho vòng bi, bạc đạn tốc độ cao các hãng mới nhất năm 2023
Xem thêm sản phẩm tương đương tại đây
Người gửi / điện thoại
Kho bãi dầu nhớt của chúng tôi
Mr Bảo: 0919770028 (zalo , tiktok)
Email: moboitronhq@gmail.com
Tham gia HIỆP HỘI DẦU NHỚT VÀ PHỤ TÙNG VIỆT NAM để tìm kiếm nguồn hàng dễ dàng hơn
Mỡ bôi trơn Grenvo EP 00 Grease
Grenvo EP 00 Grease là mỡ bôi trơn chịu cực áp gốc Lithium, cấp độ NLGI 00, được thiết kế đặc biệt cho các hệ thống bôi trơn trung tâm, hộp số kín và các cơ cấu truyền động yêu cầu khả năng chảy tốt. Với công thức chứa phụ gia EP (Extreme Pressure)
Mỡ bôi trơn Grenvo EP 2 Grease
Grenvo EP 2 Grease là mỡ bôi trơn cao cấp, gốc lithium, có khả năng chịu cực áp (EP), được thiết kế để sử dụng đa dụng trong các môi trường làm việc khắc nghiệt.
Mỡ Sinopec Extreme Pressure Lithium Grease NLGI 3 - Mỡ Sinopec EP 3
Mỡ Sinopec Extreme Pressure Lithium Grease NLGI 3 (mỡ Sinopec EP 3) là loại mỡ có áp suất cực cao, được pha chế với chất làm đặc xà phòng liti và gốc khoáng chất lượng cao dầu. Nó chứa các chất ức chế quá trình oxy hóa và rỉ sét, và áp suất cực cao và phụ gia chống mài mòn để đảm bảo hiệu suất tuyệt vời và tuổi thọ cao, ngay cả trong các điều kiện dịch vụ khắc nghiệt, nơi nhiệt độ cao, tải sốc và nước có thể bị nhiễm bẩn
Mỡ bôi trơn Renolit EP 3 - FUCHS
RENOLIT EP 3 là loại mỡ bôi trơn đa dụng, được sản xuất bởi FUCHS – một trong những tập đoàn sản xuất dầu mỡ hàng đầu thế giới. Sản phẩm này được pha chế từ dầu gốc khoáng chất lượng cao, sử dụng chất làm đặc gốc lithium soap và được bổ sung các phụ gia chịu cực áp (EP – Extreme Pressure), chống gỉ và chống oxy hóa.
Mỡ Bôi Trơn Total Altis SH 2 - Mỡ Polyurea Tổng Hợp
Cung cấp mỡ Total Altis SH 2 – mỡ polyurea tổng hợp chịu cực áp, tốc độ cao & nhiệt độ cao. Phù hợp bôi trơn vòng bi, máy sấy, máy băng tải, động cơ. Mua chính hãng, giao hàng toàn quốc.
Mỡ Bôi Trơn Chịu Cực Áp Korea KLUBE EP NO.2
KLUBE EP NO.2 là loại mỡ bôi trơn công nghiệp cao cấp, được pha chế từ dầu gốc khoáng chất lượng cao, chất làm đặc lithium, và phụ gia chịu cực áp (EP) nhằm đáp ứng tối đa yêu cầu hoạt động trong điều kiện tải trọng nặng và môi trường khắc nghiệt. Với dải nhiệt độ hoạt động từ -20ºC đến 150ºC (trong điều kiện không liên tục), sản phẩm thích hợp cho các thiết bị yêu cầu bôi trơn bền bỉ và chống mài mòn mạnh mẽ.
Mỡ Bò Lỏng Grenvo Lithium Grease EP 00
Grenvo Lithium Grease EP 00 là dòng mỡ bò lỏng cấp độ NLGI 00, được sản xuất từ dầu gốc khoáng chất lượng cao, kết hợp với chất làm đặc lithium tinh khiết và hệ phụ gia chịu cực áp (Extreme Pressure – EP). Sản phẩm được thiết kế chuyên biệt cho các hệ thống bôi trơn tự động, hộp số, vòng bi hoạt động trong điều kiện tải trọng lớn, rung động mạnh hoặc môi trường ẩm ướt, nhiều bụi bẩn.
Mỡ bôi trơn Grenvo Lithium Grease EP 3 – NLGI 3
Grenvo Lithium Grease EP 3 là dòng mỡ bôi trơn lithium chịu cực áp (Extreme Pressure - EP) với cấp độ NLGI 3, được pha chế từ dầu gốc khoáng tinh luyện chất lượng cao và chất làm đặc lithium cao cấp.
Mỡ bò Caltex Starplex EP2/EP3 (tên cũ Delo Starplex EP2/EP3)
Delo® Starplex EP2/ EP3 là mỡ đa dụng chất lượng tuyệt hảo, chịu cực áp, dùng cho ổ bi bánh xe và khung gầm ô tô. Sản phẩm chứa dầu gốc khoáng có cấp độ nhớt ISO 220, chất làm đặc li-thi phức hợp, phụ gia cực áp, phụ gia ức chế ô xi hóa, phụ gia chống rỉ và phụ gia tạo độ bám dính.
CÔNG TY TNHH THƯƠNG MẠI DỊCH VỤ AN PHÚ ĐỨC
CÔNG TY TNHH UNITED OIL VIỆT NAM
Địa chỉ văn phòng: 109 Nguyễn Bá Tòng, Phường 11, Quận Tân Bình, TP HCM
Hotline: 0919770028
Kho hàng 1: 61/13 Đường Vĩnh Phú 41, Thuận An, TPHCM
Kho hàng 2: Thôn Nhơn Thọ 1, Xã Hòa Phước, Huyện Hòa Vang, TP Đà Nẵng.
Kho hàng 3: 82 Nguyễn Phúc Nguyên, Hương Long, TP Huế.
Kho hàng 4: 423 Minh Khai, Hai Bà Trưng, Hà Nội.
Kho hàng 5: Hẻm 1400, Nguyễn Ái Quốc, Khu phố 5, Phường Tân Phong, TP Biên Hòa, Đồng Nai
Kho hàng 6: 265 Mọ Kọ, Gung Ré, Di Linh, Lâm Đồng
Kho hàng 7: 40 Trần Anh Tông, Quy Nhơn, Gia Lai
Kho hàng 8: 47B, Hẻm 51, Đường 3/2, Phường Xuân Khánh, Quận Ninh Kiều, Thành phố Cần Thơ
Email: moboitronhq@gmail.com - MST 0313110360
Admin: Nguyễn Gia Quốc Bảo
Tuyển cộng tác viên kinh doanh dầu nhớt
Tham gia HIỆP HỘI DẦU NHỚT VÀ PHỤ TÙNG VIỆT NAM để tìm kiếm nguồn hàng và khách hàng dễ dàng hơn!

























