|
Từ khóa
Danh mục |
|
Đang truy cập: 94 Trong ngày: 240 Trong tuần: 925 Lượt truy cập: 9333057 |
Sản phẩm nằm trong danh mục:
DẦU THỦY LỰC
Mô tả
Dầu thủy lực không kẽm không tro Castrol Hyspin HVI 46 15 22 32 68 100 150 được thiết kế cho các hệ thống thủy lực bị căng thẳng đòi hỏi mức độ chống mài mòn cao và lọc tốt. Ngoài ra, Hyspin HVI thể hiện khả năng chống ăn mòn tuyệt vời cũng như tính ổn định nhiệt và oxy hóa vượt trội. Hyspin HVI đã xuất sắc ổn định thủy phân và tách nhanh khỏi sự nhiễm bẩn của nước.Mr Bảo: 0919770028 (zalo , tiktok)
Email: moboitronhq@gmail.com
Mô tả sản phẩm dầu thủy lực không kẽm Castrol Hyspin HVI 46 15 22 32 68 100 150
Dòng dầu Castrol Hyspin HVI 46 15 22 32 68 100 150 của dầu có chỉ số độ nhớt cao (VI) dựa trên hệ phụ gia không tro (không chứa kẽm) được lựa chọn cẩn thận được thiết kế để đáp ứng và vượt qua các tiêu chuẩn hiệu suất chính xác nhất.
Xem thêm: Dầu thủy lực là gì - Công dụng và cách lựa chọn dầu phù hợp
Ứng dụng của dầu thủy lực không kẽm Castrol Hyspin HVI 46 15 22 32 68 100 150
Dầu thủy lực không kẽm không tro Castrol Hyspin HVI 46 15 22 32 68 100 150 được thiết kế cho các hệ thống thủy lực bị căng thẳng đòi hỏi mức độ chống mài mòn cao và lọc tốt. Ngoài ra, Hyspin HVI thể hiện khả năng chống ăn mòn tuyệt vời cũng như tính ổn định nhiệt và oxy hóa vượt trội. Hyspin HVI đã xuất sắc ổn định thủy phân và tách nhanh khỏi sự nhiễm bẩn của nước.
Dầu thủy lực không kẽm Hyspin HVI chứa hệ phụ gia ổn định cắt giúp duy trì đặc tính độ nhớt của sản phẩm trong một phạm vi nhiệt độ rộng ngay cả khi sử dụng trong thời gian dài và có nhiệt độ đông đặc rất thấp, cho phép sản phẩm được sử dụng trong môi trường rất lạnh.
Các ứng dụng bao gồm:
Thiết bị ngoài trời có khả năng hoạt động trong phạm vi nhiệt độ rộng, chẳng hạn như máy móc trong điều kiện khởi động lạnh và nhiệt độ cao chạy liên tục. Ví dụ bao gồm các ứng dụng ngoài đường cao tốc và hàng hải.
Thiết bị sản xuất trong nhà kết hợp hệ thống điều khiển yêu cầu thay đổi độ nhớt tối thiểu theo nhiệt độ. Ví dụ bao gồm máy công cụ chính xác.
Dầu thủy lực Castrol Hyspin HVI hoàn toàn tương thích với các vật liệu đàn hồi thường được sử dụng cho seal tĩnh và động, chẳng hạn như nitrile, silicone và polyme flo hóa (ví dụ Viton).
Xem thêm: Có nên sử dụng dầu nhớt thủy lực tái chế không?
Castrol Hyspin HVI đạt được các tiêu chuẩn kỹ thuật:
Phân loại DIN 51502 - HVLP
ISO 6743/4 - Loại dầu thủy lực HV
Lớp HVI của Hyspin đáp ứng các yêu cầu (đối với cấp độ nhớt thích hợp) của:
DIN 51524 Phần 3
Cincinnati Lamb (Milacron) P 68-69-70
Denison (Parker Hannafin) HF-0
US Steel 126 & 127
Eaton (trước đây là Vickers) I-286-S & M-2950-S
Frank Mohn
Bosch Rexroth RE07075 / RE90220
Xem thêm: Nhà cung cấp dầu nhớt thủy lực lớn nhất miền Nam
Ưu điểm của dầu thủy lực không kẽm Castrol Hyspin HVI 46 15 22 32 68 100 150
Chỉ số độ nhớt cao và điểm đông đặc thấp cho phép sản phẩm được sử dụng trong phạm vi nhiệt độ rộng, với độ ổn định cắt tốt có nghĩa là không bị mất quá nhiều độ nhớt do cắt cơ học.
Hiệu suất chống mài mòn tuyệt vời cung cấp khả năng bảo vệ chống mài mòn kéo dài cho máy bơm thủy lực. Giảm thời gian ngừng hoạt động do đột xuất bảo trì và tiết kiệm chi phí thay thế linh kiện.
Tách nước tuyệt vời và ổn định thủy phân có nghĩa là giảm thời gian ngừng hoạt động thông qua tuổi thọ chất bôi trơn kéo dài và tăng độ tin cậy của thiết bị.
Tính ổn định nhiệt và oxy hóa tuyệt vời mang lại hiệu suất đáng tin cậy và kéo dài tuổi thọ dầu trong các ứng dụng khắc nghiệt. Giảm thiểu hình thành cặn bẩn giúp tạo ra một hệ thống sạch hơn và giảm tần suất thay đổi bộ lọc.
Các đặc tính về khả năng lọc tuyệt vời (kể cả khi có nước) giúp tiết kiệm chi phí do tăng tuổi thọ bộ lọc.
Xem thêm: Các loại dầu thủy lực Castrol trên thị trường hiện nay
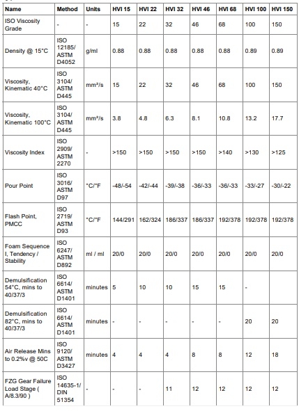
Thông số kỹ thuật của dầu thủy lực không kẽm Castrol Hyspin HVI 46 15 22 32 68 100 150

Xem thêm: Thủy lực là gì? Cấu trúc và nguyên lý của hệ thống thủy lực?
Người gửi / điện thoại
Kho bãi dầu nhớt của chúng tôi
Mr Bảo: 0919770028 (zalo , tiktok)
Email: moboitronhq@gmail.com
Tham gia HIỆP HỘI DẦU NHỚT VÀ PHỤ TÙNG VIỆT NAM để tìm kiếm nguồn hàng dễ dàng hơn
Dầu thủy lực GT Vesta Hydraulic Oil AWS 22 - Thương hiệu GT 66
GT Vesta Hydraulic Oil AWS 22 là dầu thủy lực thuộc nhóm HLP, được pha chế từ dầu gốc khoáng nhóm II và được tăng cường phụ gia chống mài mòn, chống oxy hóa bền nhiệt, chống gỉ sét, tách nước nhanh. Sản phẩm có tính ổn định nhiệt và hóa học cao, bảo vệ hệ thống thủy lực hoạt động bền bỉ trong điều kiện khắc nghiệt.
Dầu thủy lực GT Vesta Hydraulic Oil AWS 32 - Thương hiệu GT 66
GT Vesta Hydraulic Oil AWS 32 là dầu thủy lực thuộc nhóm HLP, được pha chế từ dầu gốc khoáng nhóm II và được tăng cường phụ gia chống mài mòn, chống oxy hóa bền nhiệt, chống gỉ sét, tách nước nhanh. Sản phẩm có tính ổn định nhiệt và hóa học cao, bảo vệ hệ thống thủy lực hoạt động bền bỉ trong điều kiện khắc nghiệt.
Dầu thủy lực GT Vesta Hydraulic Oil AWS 46- Thương hiệu GT 66
GT Vesta Hydraulic Oil AWS 46 là dầu thủy lực thuộc nhóm HLP, được pha chế từ dầu gốc khoáng nhóm II và được tăng cường phụ gia chống mài mòn, chống oxy hóa bền nhiệt, chống gỉ sét, tách nước nhanh. Sản phẩm có tính ổn định nhiệt và hóa học cao, bảo vệ hệ thống thủy lực hoạt động bền bỉ trong điều kiện khắc nghiệt.
Dầu thủy lực GT Vesta Hydraulic Oil AWS 68 - Thương hiệu GT 66
GT Vesta Hydraulic Oil AWS 68 là dầu thủy lực thuộc nhóm HLP, được pha chế từ dầu gốc khoáng nhóm II và được tăng cường phụ gia chống mài mòn, chống oxy hóa bền nhiệt, chống gỉ sét, tách nước nhanh. Sản phẩm có tính ổn định nhiệt và hóa học cao, bảo vệ hệ thống thủy lực hoạt động bền bỉ trong điều kiện khắc nghiệt.
Dầu Thủy Lực AeroShell Fluid 41
Cần dầu thủy lực siêu sạch cho máy bay? AeroShell Fluid 41 là lựa chọn lý tưởng: bền nhiệt, chống mài mòn, dùng tốt từ -54°C đến 135°C.
Dầu Thủy Lực Chống Mài Mòn Amer AW 32 46 68
Dầu thủy lực chống mài mòn AW 32, 46, 68 là dòng dầu cao cấp được pha chế từ dầu gốc tinh lọc chất lượng cao, kết hợp với phụ gia đặc biệt chống gỉ và chống ăn mòn, phù hợp với các hệ thống bôi trơn áp suất thấp đến trung bình.
Dầu thủy lực chống mài mòn Amer HV32, HV46, HV68
Amer Low-condensate Clear Anti-wear Hydraulic Oils HV32, HV46 & HV68 là dòng dầu thủy lực chống mài mòn cao cấp, được pha chế từ dầu gốc tổng hợp tinh luyện bằng công nghệ khử sáp đồng phân hóa – công nghệ được cấp bằng sáng chế toàn cầu, kết hợp với hệ phụ gia hiệu suất vượt trội.
Chất lượng sản phẩm vượt xa tiêu chuẩn quốc tế L-HV và đáp ứng nghiêm ngặt tiêu chuẩn DIN5124PART2-HLP của Đức cho hệ thống thủy lực công nghiệp hiện đại.
Dầu thủy lực hàng không Amer Cryogenic Anti-wear Hydraulic Oils PL10 & PL15
Amer Cryogenic Anti-wear Hydraulic Oils PL10 & PL15 là dòng dầu thủy lực chất lượng cao được tổng hợp từ dầu gốc có điểm đông đặc cực thấp, sản xuất bằng công nghệ đồng phân hóa thành phần nhẹ chưng cất trực tiếp – công nghệ độc quyền trên thế giới.
Kết hợp với các phụ gia hiệu suất cao, sản phẩm đáp ứng đầy đủ các yêu cầu khắt khe nhất của hệ thống thủy lực trong máy bay hiện đại và các thiết bị phụ trợ hàng không.
Dầu thủy lực Amer HM 32 46 68 100 150
Amer HM 32 46 68 100 150 là dòng dầu thủy lực chống mài mòn cao cấp, được pha chế từ dầu khoáng gốc parafin khử sáp đồng phân hóa kết hợp với hệ phụ gia hiệu suất vượt trội.
Sản phẩm sử dụng công nghệ chống hình thành cặn độc quyền, mang lại khả năng làm sạch nổi bật, kéo dài tuổi thọ thiết bị, đáp ứng và vượt tiêu chuẩn L-HM quốc tế cũng như yêu cầu kỹ thuật khắt khe của nhiều hãng sản xuất thiết bị thủy lực hàng đầu thế giới.
CÔNG TY TNHH THƯƠNG MẠI DỊCH VỤ AN PHÚ ĐỨC
CÔNG TY TNHH UNITED OIL VIỆT NAM
Địa chỉ văn phòng: 109 Nguyễn Bá Tòng, Phường 11, Quận Tân Bình, TP HCM
Hotline: 0919770028
Kho hàng 1: 61/13 Đường Vĩnh Phú 41, Thuận An, TPHCM
Kho hàng 2: Thôn Nhơn Thọ 1, Xã Hòa Phước, Huyện Hòa Vang, TP Đà Nẵng.
Kho hàng 3: 82 Nguyễn Phúc Nguyên, Hương Long, TP Huế.
Kho hàng 4: 423 Minh Khai, Hai Bà Trưng, Hà Nội.
Kho hàng 5: Hẻm 1400, Nguyễn Ái Quốc, Khu phố 5, Phường Tân Phong, TP Biên Hòa, Đồng Nai
Kho hàng 6: 265 Mọ Kọ, Gung Ré, Di Linh, Lâm Đồng
Kho hàng 7: 40 Trần Anh Tông, Quy Nhơn, Gia Lai
Kho hàng 8: 47B, Hẻm 51, Đường 3/2, Phường Xuân Khánh, Quận Ninh Kiều, Thành phố Cần Thơ
Email: moboitronhq@gmail.com - MST 0313110360
Admin: Nguyễn Gia Quốc Bảo
Tuyển cộng tác viên kinh doanh dầu nhớt
Tham gia HIỆP HỘI DẦU NHỚT VÀ PHỤ TÙNG VIỆT NAM để tìm kiếm nguồn hàng và khách hàng dễ dàng hơn!

























